목차
Infinite potential well의 solution의 특징
TISE solution 각 state 그림 그려보기
Infinite potential well의 TISE 의 해 \( \psi(x) \)의 값은 다음과 같다. \[\psi_n(x) = \sqrt{\frac{2}{a}}\sin(\frac{n\pi}{a}x)\] 이 값을 n이 1일때부터 숫자를 키워가며 그려보자면

위와 같다. n=1일때의 state 를 바닥상태라는 의미의 ground state라고 부른다. 이 파동함수는 그 자체로는 의미가 없고, 이를 제곱한 것이 그 위치에서 발견될 확률이 된다.
Infinite potential well의 TISE solution의 특징 4가지
Even or Odd function
n 이 1,3,5, ... 일때는 함수의 개형이 odd 이고, n이 2,4,6, ... 일때는 even form이다.
Energy가 클수록 node의 개수가 많다 E_n : (n-1)
구간 양 끝값을 제외하고 확률이 0인 지점을 node라고 하는데, node 의 개수는 n-1 개이다.
운동에너지 연산자는 \( \frac{\hbar ^2}{2m}\frac{\partial ^2}{\partial x^2} \)이다. x에 대해 두번 미분이 들어있다는 것은, 파동함수의 변덕이 심할수록 운동에너지가 크다는 말이고, 그말인 즉슨 node의 개수가 많을수록 운동에너지가 크다는 말이된다.
Orthogonality
\[ \int \psi_n^*\psi_m dx = \delta _{mn}\] 이다. 여기서 kronecker- delta는 m과 n이 같을때는 1이고 다를때는 0 이다.

Completeness
어떤 형태의 함수라도 wave function의 linear combination 으로 나타낼 수 있다. 이것을 Dirichlet's theorem이라도 한다.
coefficient C의 물리학적 의미 : |c|^2 = probability mass function
\[\Psi(x,t) = \sum c_n \psi(x)\phi(t) = \sum c_n \sqrt{\frac{2}{a}}\ sin(\frac{n\pi}{a}x)e^{-i\frac{\pi^2\hbar t}{2ma^2}n^2 }\]
임을 알게 되었다. 여기서 \( c_n\) 은 각 state들이 general solution의 형태에 얼마나 기여하고 있는지를 의미한다. 우리는 psi의 제곱인 확률을 측정하게 되는데, 이때 \( c_n\)이 클수록 그 state가 측정될 가능성이 올라간다. 다시 말해, \( |c_{n}|^2\)은 한번의 측정에서 에너지가 \( E_n\)가 나올 확률이다. (the probability that a measurement of the energy would yield \( E_n\))
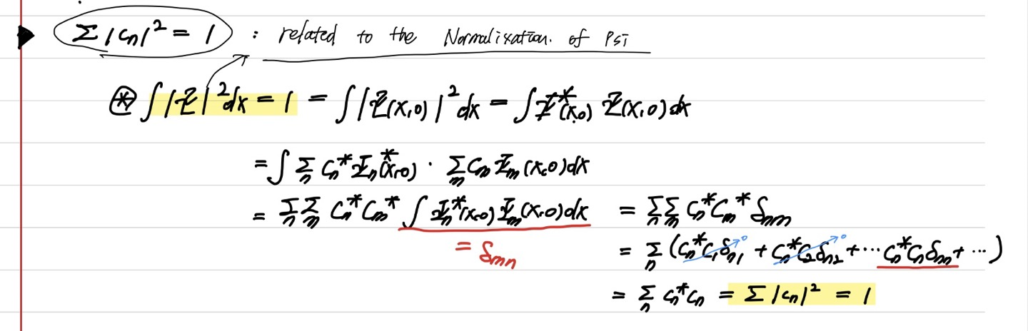
\( |c_{n}|^2\)은 Discrete한 각 state에 대응되는 확률이므로, Probability mass function이라 할 수 있다. 따라서 Normalization condition을 만족해야한다. \[ \sum |c_{n}|^2 = 1\]
이는 원래 파동함수의 Normalization으로부터도 유도된다.

여기서 체크해야할 것은 계수조차도 복소수가 될 수 있다는 점이다. 계수가 실수일거라 생각하면 안된다.
Expectation value of Energy <H>
그러면 우리는 에너지의 기댓값을 두가지 방법으로 계산할 수 있는데, 하나는 지금껏 해왔듯 헤밀토니안 연산자의 기댓값을 구하는 방식이고, 하나는 방금 구한 pmf의 expectation 을 구하는 방식이다. 두 값은 일치해야한다.

여기서도 역시 seperable solution 의 summation으로 나타냈다. c를 논하는 자리이므로 당연히 그렇게 해야할 것이다. 헤밀토니안 연산자가 \( \Psi_m \)과 상호작용하여 \( \hat{H}\Psi_m = E_m\Psi_m \) 연산이 된 후 에너지는 인테그랄 밖으로 빠져나오고, orthogonality conditiond에 의해 m이 n과 같을때는 인테그랄이 normalization되고, 다를때는 0이 된다.
위 식을 보면, 에너지의 평균값은 시간과 무관함을 알 수 있다. 즉 이것이 양자역학에서의 에너지 보존법칙(conservation of Energy in Quantum mechanics)이다.
Example

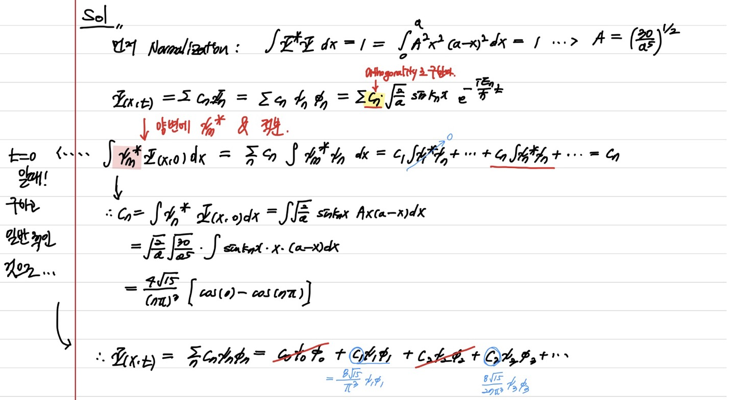
위 문제에 대해 General solution을 찾아보자.
find general solution
Initial condition을 받았다. infinite well 이므로 우리는 기본적으로 TISE solution 및 general solution의 포맷을 갖고있다.
처음에는 A의 값을 찾아야 하므로 Normalize 해야한다. A의 값을 구했으면, 바로 계수를 찾아준다. 계수를 찾을때는 Orthogonality를 활용한다. 이때 general form 이 아니라 initial condition에 해줘야한다. 풀이는 아래와 같다.

most probable
위의 함수에서 측정했을때 most probable한 energy는 무엇인가? 확률이 가장높은 것은 \( |c_{n}|^2\) 이 가장 높은 것이다. \( |c_{n}|^2\)은 n = 1 일때가 가장 크다. 즉 E_1이 most probable 이다.
Expectation value of energy
위의 상황에서 Expectation value of energy <H> 를 계산하는것은 적분을 하는 것보다 pmf의 expectation을 구하는 것이 낫다.

계산해보면 E1과 매우 비슷한 모습을 보인다. 이 이유는 처음 initial condition으로 받은 파동함수의 개형이 ground state와 매우 유사하기 때문이다.
'Physics > 양자역학 Quantum Mechanics' 카테고리의 다른 글
| Single photon Interference (0) | 2023.05.29 | 
|---|---|
| [4-2] Harmonic Oscillator in QM (Algebraic Method) (0) | 2023.03.23 | 
| 3-2 Infinite potential well (0) | 2023.03.16 | 
| [3-1] 1-dimensional time dependant Schrödinger equation (0) | 2023.03.14 | 
| [2-2] 운동량 연산자 유도하기, 불확정성 원리, 슈뢰딩거 방정식 유도 (0) | 2023.03.14 | 
| [1-1,1-2] 양자역학의 시작 (2) | 2023.02.28 | 
 
										
									 
										
									 
										
									 
										
									
댓글