목차
Physical Quantity
양자역학의 물리량은 연산자의 기댓값이다
지난 시간에 했던 걸 다시 한번 짚고 넘어가겠다.
양자역학에서는 위치 x, 운동량 p, 운동에너지 T를 "연산자의 기댓값"으로 계산한다. 따라서
$$\left \langle \hat{x} \right \rangle = \int \Psi^* x \Psi dx$$
$$\left \langle \hat{p} \right \rangle = \int \Psi^* p \Psi dx \neq \int p\Psi^* \Psi dx $$
$$\left \langle \hat{T} \right \rangle = \left \langle \frac{\hat{p}^2}{2m} \right \rangle = - \frac{\hbar^2}{2m}\int \Psi^* \frac{\partial^2}{\partial x^2} \Psi dx $$
가 성립한다. 운동량 연산자의 기댓값을 계산할 때, 교환법칙이 성립하지 않음에 주의하자 (나중에 중요하게 다룬다)
우리가 위의 계산을 하기에 앞서, 고전역학에서는 어떻게 기댓값을 구했는지 살펴보자
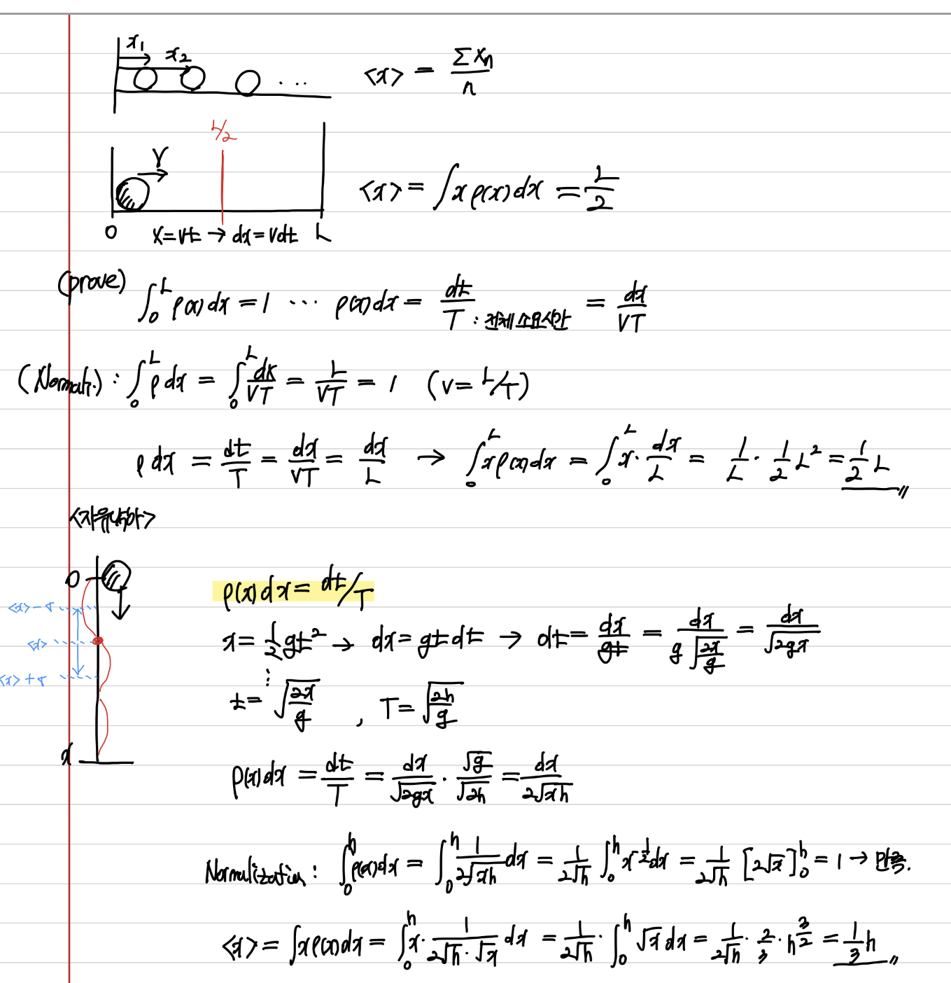
고전역학에서 위치의 기댓값은 어떻게 구했나
등속도 운동하는 물체의 위치 기댓값
가장 기본적인 상황을 가정해보자. 길이가 L인 구간을 v의 속도로 등속도 운동하는 물체는 총 T라는 시간동안 이동한다. 즉 \(vT = L\) 이다. 이에 대해 위치의 기댓값 \(\left \langle x \right \rangle )\ 을 구해보자면
$$\left \langle x \right \rangle = \int x \rho(x) dx$$ 와 같다. 그런데 여기서 \( \rho(x) dx\) 는 일정 구간 dx에 물체가 발견될 확률이므로,
$$\rho(x) dx = \frac {dt}{T}$$ 이다. 사실 x = vt 이므로 대입해서 t에 대해 0~T 적분하면 바로 기댓값 L/2이 나오지만, 우리는 좀 더 조작을 해보겠다. 왜냐하면 양자역학에서는 적분을 x에 대해서 하지 t에 대해 하지 않기 때문이다.
$$x = vt \to dx = v dt \to dt = \frac{dx}{v}$$ 이고, 이를 \(\rho(x) dx = \frac {dt}{T}\) 에 대입하면
$$\rho(x) dx =\frac {dt}{T} = \frac {dx}{vT}$$ 이다. 이에 따라 주어진 기댓값을 계산하면
$$\left \langle x \right \rangle=\int x\rho(x)dx=\int x\frac{dt}{T}=\int_{0}^{L}x\frac{dx}{vT}=\frac{1}{vT}\frac{L^2}{2}=\frac{L}{2}$$
두번째로 자유낙하하는 물체의 위치 기댓값
이번에는 자유낙하 하는 물체다. 위에서와 같은 논리 과정으로 진행하는데, 여기서 x는 vT가 아니라 \( \frac{1}{2}gt^2\)이라는 점만 달라진다.

자유낙하 하는 물체의 \( \rho(x)dx\)는 \[\rho(x)dx = \frac{dx}{2\sqrt{xh}}\]이므로 계산하면 1/3 h 가 나온다. 절반보다 위에 있는 이유는 자유낙하 하는 물체는 점점 빨라지므로 반대로 말하면 절반보다 더 위에 오래 머물기 때문이다.
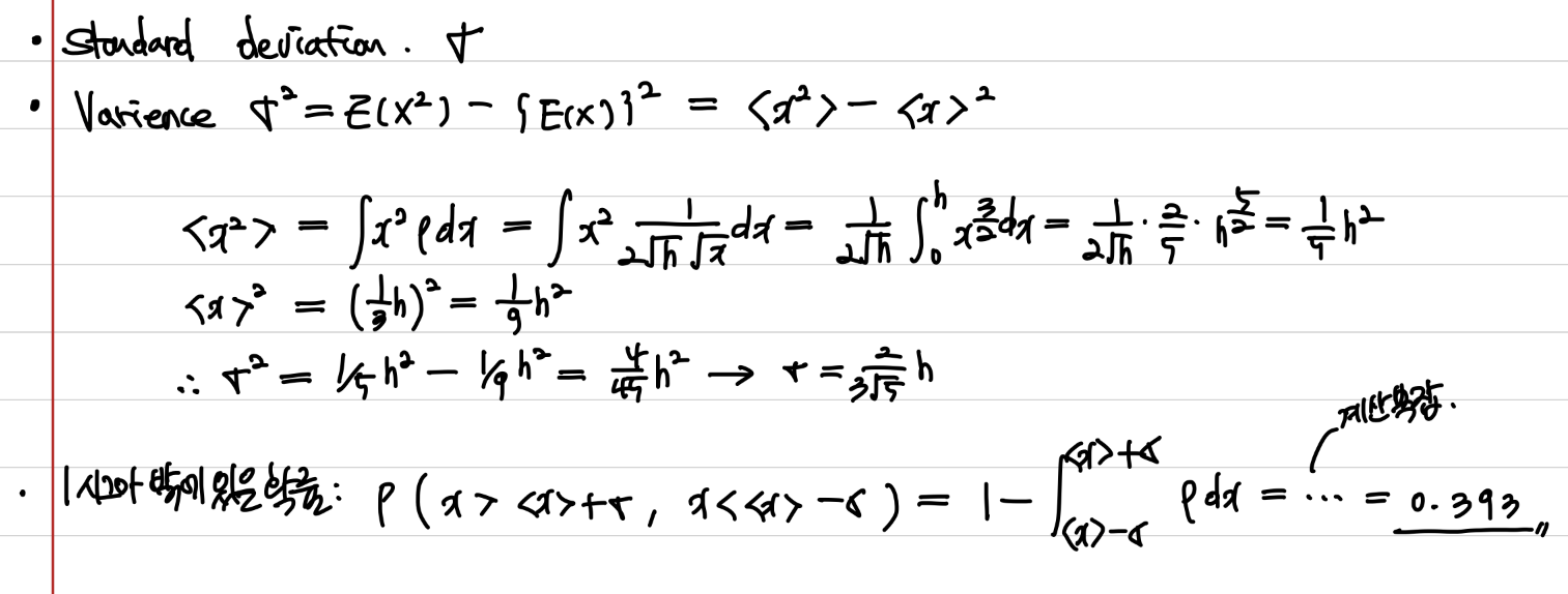
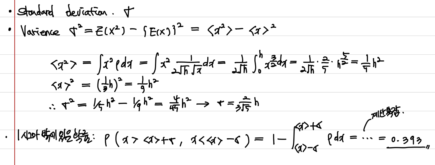
또 분산과 표준편차를 계산할 수 있는데, 분산은 제곱의 평균에서 평균의 제곱을 빼줘서 계산한다.

확률밀도와 확률흐름(Probability current)
Continuity Equation
\( \left \langle \hat{p} \right \rangle\) 유도 공식 중간에서, 아래와 같은 식이 유도된다.
\[\frac{d\left \langle x \right \rangle}{dt}=\int x\frac{\partial }{\partial t}(\Psi^* \Psi)dx=...= \frac{i \hbar}{2m}\int\frac{\partial}{\partial x}\left [ \Psi^*\frac{\partial \Psi}{\partial x}+ \Psi\frac{\partial \Psi^*}{\partial x} \right ]dx\] 여기서 \(\frac{\partial }{\partial t}(\Psi^* \Psi)\)와 뒤의 미분 term이 같다는 걸 알수 있다. 그러면 둘을 따로 빼서 정리해보면
\[\frac{\partial }{\partial t}(\Psi^* \Psi) = \frac{i \hbar}{2m}\frac{\partial}{\partial x}\left [ \Psi^*\frac{\partial \Psi}{\partial x}+ \Psi\frac{\partial \Psi^*}{\partial x} \right ]dx\] 여기서 probability density의 정의에 따라
\[\frac{\partial }{\partial t}(\Psi^* \Psi) = \frac{\partial }{\partial t}\rho\] 이다. 또한
\[J \equiv - \frac{i \hbar}{2m} \left [ \Psi^*\frac{\partial \Psi}{\partial x}+ \Psi\frac{\partial \Psi^*}{\partial x} \right ]dx\] 로 정의한다. 이 J를 Probability current 라고 한다. 따라서 앞선 식은
\[\frac{\partial }{\partial t}\rho= - \frac{\partial J}{\partial x}\]가 되고, 이를 연속방정식(Continuous Equation)이라 부른다.
연속 방정식은 다음과 같이 이항해서 적어주기도한다.
1차원 연속방정식은 \[\frac{\partial \rho }{\partial t} + \frac{\partial J}{\partial x}= 0 \]
3차원 연속방정식은 \[\frac{\partial \rho }{\partial t} + \frac{\partial J_x}{\partial x}+\frac{\partial J_y}{\partial y}+\frac{\partial J_z}{\partial z}= 0 \]이고, 이는 다시 적으면, \[\frac{\partial \rho }{\partial t} + \nabla \cdot \vec{J} = 0\]이다.
불확정성 원리
아래 사진 하나로 설명이 된다.

위치x 의 정밀성이 높아질 수록, 파장(파장은 곧 운동량을 의미)의 정밀성은 낮아진다. 정확성과 정밀성을 구분해서 말해야 한다. 정확성은 참값과의 차이가 얼마나 크냐의 의미이고, 정밀성은 N번의 측정값들 간의 표준편차가 얼마나 크냐를 의미한다. 정밀성이 낮다는 것은 표준편차가 크다는 것을 의미한다. 위치의 표준편차와 운동량의 표준편차는 아래의 관계를 갖는다.
\[\sigma_x \sigma_p \geq \frac{\hbar}{2}\]
이 식을 하이젠베르크의 불확정성 원리(Uncertainty Principle)라 부른다.
간단한 슈뢰딩거 방정식의 유도
유도의 논리 흐름은 아래와 같다.
드브로이의 물질파 이론 \( p = \frac{h}{\lambda} = \frac{h}{2\pi}\frac{2\pi}{\lambda} = \hbar k\) 를 이용해서 입자의 에너지를 정의한다 \[E = \frac{p^2}{2m}\] 이때 일단 가장 단순한 상황을 위하여 퍼텐셜 V는 0이라 가정한다.
그리고 아인슈타인의 광양자이론 \(E = h \nu = \frac{h}{2\pi}2\pi\nu = \hbar w\) 으로 입자의 에너지를 정의할 수도 있으므로, 둘을 연결한다.
가장 단순한 조화파 파동함수를 하나 상정한다. \[\Psi (x,t) = e^{i(kx-wt)}\]
운동량을 끌어내주기 위해선, k가 필요하므로, x로 편미분한다. k를 이끌어냈으면 $\hbar$를 곱해서 p를 만든다.
아인슈타인의 에너지를 이끌어 내기 위해서는 시간으로 편미분한다. w를 이끌어 냈으면 또\( \hbar \)를 곱해서 E를 만든다.
(자세한 식은 아래 손글씨 참조)

이렇게 각각 E의 연산자와 p의 연산자를 이끌어 낸뒤 \[ \hat{E} = \frac{\hat{p}^2}{2m}\] 를 각 파동함수에 곱해주면 우리는 free particle의 슈뢰딩거 방정식을 이끌어 낼 수 있고, 여기에 포텐셜 항 V를 추가하여 일반적인 슈뢰딩거 방정식을 유도할 수 있다.
'Physics > 양자역학 Quantum Mechanics' 카테고리의 다른 글
| Single photon Interference (0) | 2023.05.29 |
|---|---|
| [4-2] Harmonic Oscillator in QM (Algebraic Method) (0) | 2023.03.23 |
| [4-1] Infinite potential well (2) (0) | 2023.03.23 |
| 3-2 Infinite potential well (0) | 2023.03.16 |
| [3-1] 1-dimensional time dependant Schrödinger equation (0) | 2023.03.14 |
| [1-1,1-2] 양자역학의 시작 (2) | 2023.02.28 |
댓글