목차
복습
양자역학 문제를 푸는 순서를 다시 한 번 정리해보자
- Time independant Schrodinger Equation 을 풀어줘서 \( \psi(x) \)를 구해준다.
- \( \psi(x)\)를 이용해서 E를 구해주고 그것으로 \( \phi(t)\)를 구해준다.
- Initial condition과 orthogonality를 이용해서 계수 \( c_n\)을 구해준다.
- 1~3에서 구한 값을 종합하여 general solution \( \Psi(x,t)\)를 구해준다.
이것이 일반적인 과정이고, 만약 우리가 익히 알고있는 상황 3가지 (Infinite potential well, harmonic oscillator, hygrogen atom) 이라면 1과 2는 이미 알려진 형태의 값이 있으므로, 3단계부터 해주면 된다.
또한 문제 조건에서 Potential V를 주는 경우가 있고, 또는 Initial condition인 \( \Psi(x,0)\)를 주는 경우가 있다. 전자의 경우 \( \hat{H} \)를 받은 것이니, TISE를 세워 1단계부터 해주면 되고, 후자의 경우에도 마찬가지로 풀어준 뒤 3단계에서 받은 initial condition을 적용해주면 된다.
오늘은 Infinite potential well 에 대해서 배워보도록 하자.
Infinite Potential Well
Infinite potential well 이란

무한 퍼텐셜 우물이라고도 불리는 이 상황은, 다른 말로는 Particle in a box 라고도 불린다. 길이가 L인 구간의 퍼텐셜은 0이고, 양쪽의 무한대 퍼텐셜 벽에 가로막혀있다. 이 경우에 퍼텐셜 식은 다음과 같다.

TISE 풀기
식세우기
TISE 는 \[ \hat{H} \psi(x) = E\psi(x)\] 이다. 여기서 벽 사이에서의 헤밀토니안은
\[ \hat{H} =\frac{\hat{p}^2}{2m} + V(x) = \frac{\hat{p}^2}{2m} \]이다. 벽 사이에서는 퍼텐셜이 0이기 때문이다.
운동량 연산자는 \[ \hat{p} = \frac{\hbar}{i}\frac{\partial}{\partial x}\] 이므로, 이를 대입하여 정리하면 \[ \frac{\partial ^2\psi(x)}{\partial x^2} + \frac{2mE}{\hbar^2}\psi(x) = 0 \] 이고, 여기서 \[ \frac{2mE}{\hbar^2} = k^2 , k = \sqrt{\frac{2mE}{\hbar^2}}\] 로 정의하면 \[ \frac{\partial ^2\psi(x)}{\partial x^2} + k^2\psi(x) = 0\] 이다.
TISE의 일반해 꼴잡고 구간 양끝값 넣어주기
이 방정식의 일반해는 아래와 같은 삼각함수의 선형결합 꼴이다. \[\psi(x) = A cos (kx) + B sin(kx)\]
여기서 구간 양끝에서 파동함수는 0이 되어야 하므로, \[ \psi(0) = A = 0\] \[\psi(a) = Bsin(ka) = 0\] 이며 이에 따라 \[ak = n\pi , k = \frac{n\pi}{a}\] 이다.
normalize
위의 결과에 따라 \[\psi(x) = Bsin(\frac{n\pi}{a}x)\] 이다. 여기서 이를 제곱하여 전구간 적분해준 값이 1이 되어야한다. 계산해보면, B 는 \( sqrt{\frac{2}{a}}\) 가 된다. 따라서 \[\psi(x) = \sqrt{\frac{2}{a}}\sin(\frac{n\pi}{a}x)\] 이로써 TISE를 풀었다.
\( phi(t)\) 구하고, \(c_n\) 결정해서 General solution 구하기
\( phi(t)\) 구하기
\[k = \sqrt{\frac{2mE}{\hbar^2}} \] 이므로,
\[ E = \frac{\hbar^2k^2}{2m} = \frac{\pi^2\hbar^2}{2ma^2}n^2 \] 이다. 따라서 \( phi(t)\)는 \[phi(t) = exp(\frac{-iEt}{\hbar}) = exp(-i\frac{\pi^2\hbar t}{2ma^2}n^2 ) \] 이다.
따라서 general solution은 \[\Psi(x,t) = \sum c_n \psi(x)\phi(t) = \sum c_n \sqrt{\frac{2}{a}}\ sin(\frac{n\pi}{a}x)e^{-i\frac{\pi^2\hbar t}{2ma^2}n^2 }\] 이다.
Orthogonal condition and General solution
\( c_n\)을 구하는 과정을 설명하기 위해선 실제적인 예시가 필요하므로, Initial condition 하나를 가정하겠다.

그리피스 책의 문제 하나를 가져왔다. 이 초기조건으로 \( c_n\) 을 구해보도록 하자. 우리는 Orthogonal condition이라는 방법을 사용하여 \( c_n\)을 구해줄 것이다. (참고로 위 문제의 A값은 Normalization 하면 \( A = \frac{2\sqrt{3}}{\sqrt{a^3}} \) 이다.
중요한것은, t=0 일때의 파동함수, \( \Psi(x,0)\) 에 대해 풀것인데, 이 계수는 시간에 따라 변하지 않는 time independant 한 값임을 명심하자. 그것은 왜냐하면 우리가 처음부터 그렇게 가정하고 풀었기 때문이다. 그렇기 때문에 변수분리법으로 문제를 풀 수 있는 것이다. 만약 시간에 따라 계수가 변한다면 애초부터 변수분리법이 아닌 다른 방식으로 문제를 풀어야한다. \( \Psi(x,0)\)를 우리가 구한 식으로 나타내면
\[\Psi(x,0)= \sum c_n \sqrt{\frac{2}{a}}\ sin(\frac{n\pi}{a}x)\]
비록 함수의 개형을 위와 같이 주었지만, 우리는 위의 개형을 Fourier Transformation한 형태로 나타낸다. 그래야 계수를 구할 수 있기 때문이다. 이식의 양변에 \( \psi(x)_{m}^* \)를 곱한뒤 0~a구간 적분을 해준다. 이때 psi는 실수이기 때문에 \[ \psi(x)_{m}^* = \sqrt{\frac{2}{a}}\ sin(\frac{m\pi}{a}x)\] 이므로,
\[ \int_{0}^{a}\psi_{m}(x)^*\Psi(x,0) dx= \int_{0}^{a}\sum_{n} c_n \frac{2}{a}\ sin(\frac{m\pi}{a}x)sin(\frac{n\pi}{a}x) dx \] 이다.
우변 부터 계산해보자

위의 삼각함수 공식에 의해 \[\ sin(\frac{m\pi}{a}x)sin(\frac{n\pi}{a}x) = \frac{1}{2}(\cos(\frac{(m-n)\pi}{a}x) - \cos(\frac{(m+n)\pi}{a}x)) \] 이므로, 이를 적분하면, \( n \neq m\)일때는 \[\int_{0}^{a} \frac{1}{2}(\cos(\frac{(m-n)\pi}{a}x) - \cos(\frac{(m+n)\pi}{a}x))dx = \frac{1}{2}(sin((m-n)\pi)- sin(0))=0\] 이고, n = m일때는 앞의 코싸인이 내부가 0이 되면서 적분값이 \( \frac{a}{2}\) 가되므로,
\[ \int_{0}^{a}\sum_{n} c_n \frac{2}{a}\ sin(\frac{m\pi}{a}x)sin(\frac{n\pi}{a}x) dx = c_m\frac{2}{a}\times \frac{a}{2} = c_m\]
우변의 값은 m번째 계수 \( c_m\)이 된다.
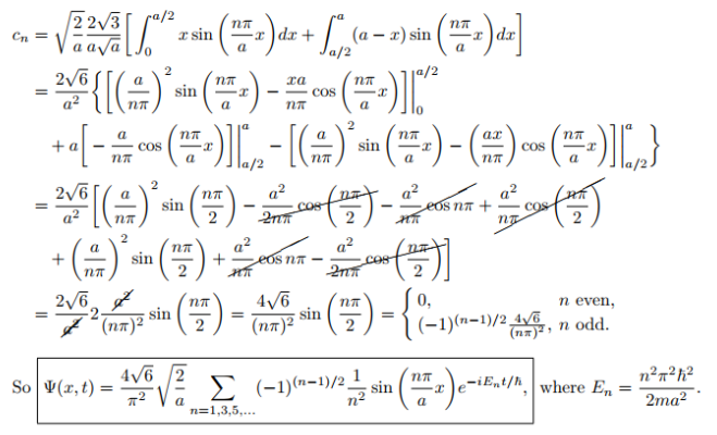
좌변의 값은 각각 구간에 대해 적분을 해야하는데, 아래 사진 풀이를 참고하자

이에 따라 우리는 c_n을 구함으로써 최종적으로 general solution을 구했다.
'Physics > 양자역학 Quantum Mechanics' 카테고리의 다른 글
| Single photon Interference (0) | 2023.05.29 |
|---|---|
| [4-2] Harmonic Oscillator in QM (Algebraic Method) (0) | 2023.03.23 |
| [4-1] Infinite potential well (2) (0) | 2023.03.23 |
| [3-1] 1-dimensional time dependant Schrödinger equation (0) | 2023.03.14 |
| [2-2] 운동량 연산자 유도하기, 불확정성 원리, 슈뢰딩거 방정식 유도 (0) | 2023.03.14 |
| [1-1,1-2] 양자역학의 시작 (2) | 2023.02.28 |
댓글